1总则
1.0.1为了统一石油天然气必威体育官方网站
的厂、站、库油罐区防火堤的设计要求,确保油罐区的安全,特制定本规范。
1.0. 2本规范适用于石油天然气必威体育官方网站
地上油罐区的新建和扩建工程中的防火堤设计。不适用于液化石油气和天然气凝液罐区的防火墙设计。
油罐区的防火堤改造工程设计,可参照本规范执行。
1.0. 3防火堤的建筑,应在满足耐燃烧性、密封性和抗震要求的前提下,综合考虑安全、占地、投资、地形、地质及气象等条件,还应考虑到罐组容量及所处位置的重要性、周围环境特点及发生事故的危害程度、施工及生产管理、维修工作量及施工、材料来源等因素,因地制宜,合理设置,使其达到坚固耐久、经济合理的效果。
1.0. 4在防火堤的设计中,除执行本规范外,尚应符合有关现行国家标准规范的要求与规定。
2术语、代号
2.1术语
2.1.1有效容积——一个油罐组由防火堤所围成的容积。计算时应扣除其内各油罐(最大一个罐除外)防火堤计算高度以下的体积和全部建、构筑物及各种基础、配管等的体积之后的容积。
2.1.2防火堤高——在总图布置中由防火堤外侧地面至防火堤顶面的垂直距离。
2.1.3防火堤基脚线——系指防火堤边坡与其内、外设计地面的交线。
2.2代号
2.2.1作用和作用效应
P
L,P
E,P
d——各种荷载水平分布值;
P
A,P
B,P
——各点土压力水平分布值;
Pt,PE,PL,Pd,PtE——各种荷载计算截面以上水平合力;
Mt,ME,ML,Md,MtE——各种荷载对计算截面的弯距;
G1——每米堤长计算截面以上堤身自重荷载标准值;
G——总垂直荷重设计值;
P——总水平荷载设计值;
M——总的作用于基底的倾复力矩设计值。
2.2.2抗力及材料特性
RH基底磨擦阻力;
PP——被动土压力;
MW——稳定力矩;

——土的内摩擦角;
γL——液体的重度;
γt——土体的重度;
H1——计算截面以上液体深度或堤高;
Ho——计算截面以上合力作用点至计算截面的距离;
HL——总的液体深度;
H——堤高;
α——内培土水平段宽度;
β——培土坡面与地面夹角;
d——基础埋深;
B1——防火堤平均厚度;
e——垂直合力作用线至基础前端的水平距离;
C——土的粘结力。
2.2.3计算系数及其它
amax——地震影响系数最大值;
a1,a2,a3,a4——根据X/H求得的相应系数;
η1——第一振型参与系数;
μ——基底摩擦系数;
η——被动土压力折减系数;
Ka,Kˊa——主动土压力系数;
Kp——被动土压力系数;
ƒt——动液压力系数。
3防火堤的布置
3.1一般规定
3.1.1油罐组所设防火堤,必须是闭合的。隔堤与防火堤也必须是闭合的。
3.1.2立式油罐组的防火堤的堤高应为1.0~2.0m。设计高度应比计算高度高出0.2m。隔堤高度应比防火堤低0.2~0.3m。
卧式油罐组的防火堤堤高不应低于0.5m。
3.1.3防火堤内地面,应有不小于3‰的坡度。其雨水排除及其他管线穿越,应符合下列规定:
3.1.3.1在堤内较低处设置集水设施,连接集水设施的雨水排除管道应从地面以下通出,堤外应设有可控制开闭的装置与之连接。开闭装置上应设有能显示其开闭状态的明显标志。
3.1.3.2进出油罐组的各类管线、电缆,不宜在防火堤堤身穿过,应尽量从堤顶跨越或堤基础以下穿过。如不可避免,必须穿过堤身时则应预埋套管,且应采取有效的密封措施。
3.1.4防火堤内地坪标高不应高于堤外消防道路路面或地面的标高。
3.1.5防火堤内油罐容量≥20000m3时,宜设置进罐组道路。进罐组道路应为单车道,应从防火堤堤顶跨人,道路纵坡不应大于8%。
3.1.6沿无培土的防火堤修建排水沟时,沟壁的外侧与防火堤基础外边缘的间距不应小于0.5m,且沟内应有防渗漏措施。
3.1.7每一罐组防火堤上必须设置两个以上人行踏步或坡道,并设置在不同方位上。
3.1.8立式油罐罐壁至防火堤和隔堤基脚线的距离,不应小于罐壁高度的一半,卧式油罐罐壁至防火堤基脚线的距离,不应小于3m。
3.1.9相邻油罐组防火堤的外侧基脚线之间,应留有宽度不小于7 m的消防空地。
3.1.10油罐区消防道路路边至平行防火堤外侧基脚线的距离不应小于3 m。
3.2容量
3.2.1油罐分组应符合下列规定:
3.2.1.1固定顶油罐总容量不应大于100000 m3。
3.2.1.2浮顶油罐总容量不应大于200000 m3。
3.2.1.3油罐组内宜布置同类火灾危险性的油罐。沸溢性与非沸溢性油品不应布置在同一防火堤范围内。
3.2.2油罐组防火堤内的有效容量应符合下列规定:
3.2.2.1固定顶油罐,不应小于罐组内一个最大油罐的容量。
3.2.2.2浮顶油罐,不应小于罐组内一个最大油罐容量的一半。
3.2.2.3当固定顶油罐与浮顶油罐同组布置时,应取以上两款规定较大值。
3.2.3油罐组内应按下列要求设置隔堤:
3.2.3.1容量等于或大于50000 m3的油罐,隔堤内油罐为一座。
3.2.3.2容量等于或大于10000 m3而小于50000 m3的油罐,隔堤内的油罐不应多于2座。
3.2.3.3容量为3000~5000 m3的油罐,隔堤内的油罐不应多于4座。
3.2.3.4容量等于或小于2000 m3的油罐,隔堤内的油罐不应多于6座。
4防火堤的型式与构造
4.1选型
4.1.1防火堤的选型应符合下列规定:
4.1.1.1土筑防火堤,在占地、土质条件能满足需要的前提下,应优先选用。
4.1.1.2砖砌防火堤,一般情况下均可选用,但用于低洼、盐碱地区应采取可靠的保护措施。
4.1.1.3钢筋混凝土防火堤、素混凝土防火堤及毛石混凝土防火堤,可在抗震设防烈度7度以上、地形复杂、人口及工业设施稠密的地区,以及在油罐组容量不小于50000 m3和对安全有特殊要求的情况下采用。
4.1.1.4浆砌毛石防火堤,防抗震设防烈度大于7度或地质构造复杂易造成基础不均匀沉降的地区以外,均可采用。
4.2构造
4.2.1防火堤(土堤除外)基础埋置深度应根据工程地质、建筑用材、冻土深度等因素确定,且不宜小于0.5m。
4.2.2防火堤(土堤除外)应设置变形缝。变形缝的间距应根据防火堤的材料、气候和地质特点按有关规范确定;缝宽30~50mm,缝内应用柔性材料密封。
4.2.3防火堤(土堤及隔堤除外)应在堤内侧培土或采取喷涂具有耐火性和密封性的涂料等保护措施,并应符合下列规定:
4.2.3.1防火堤内侧培土高度不应小于堤高的2/3;培土坡度(高宽比)应为1∶1.00~1.25;培土顶宽不应小于300mm;培土应分层压实,坡面应拍实,压实系数不应小于0.85;培土表面应做面层,面层应能有效地防止雨水冲刷、小动物破坏和杂草生长。
4.2.3.2防火涂料层的抗压强度不应低于1.5MPa,粘结强度对混凝土不应小于0.15MPa,耐火极限不应小于2小时,抗冻性应达到-25℃~20℃,冻融15次强度无变化,并能在潮湿环境下工作。
4.2.4土筑防火堤的构造应符合下列规定:
4.2.4.1堤顶宽度不应小于500mm,堤身坡度(高宽比)应为1∶1.2~1.5;
4.2.4.2筑堤材料应为粘性土。当筑堤材料为高渗透性土(塑性指数IP≤10)时,应在堤身内设厚度不小于300mm的防渗透层或掺入粘土等材料以降低其渗透性。
4.2.4.3筑堤土应分层夯实,压实系数不应小于0.90。
4.2.4.4土筑防火堤必须设面层,面层应能有效地防止雨水冲刷、小动物破坏和杂草生长。在南方湿润地区,可用人工草皮做面层。
4.2.5砖砌防火堤的构造应符合下列规定:
4.2.5.1堤身砌体厚度不应小于370mm,并用水泥砂浆抹面。
4.2.5.2砖的强度等级不应低于 MU7.5,砌筑砂浆强度等级不应低于M5;基础为毛石砌体时,毛石强度等级不应低于MU20。
4.2.5.3堤顶宜设钢筋混凝土压顶、压顶厚度不应小于100mm,混凝土强度等级不应低于C15,压顶内按构造配筋。
4.2.5.4抗震设防烈度7度以上或地质条件复杂、地基沉降差异较大地区宜采用加筋砌体。
4.2.5.5在用地条件受到限制时,可采用砖砌空腹式填土防火堤代替内培土砖砌防火堤,内填土厚度宜为500mm。
4.2.6钢筋混凝土防火堤的构造应符合下列规定:
4.2.6.1堤身及基础底板的厚度不应小于200mm。
4.2.6.2受力钢筋的单侧最小配筋率应为0.2%,钢筋直径不应小于12mm;沿堤长方向的全部构造钢筋的最小配筋率为0.2%,钢筋直径不应小于8mm,钢筋间距不应大于250mm;堤身受力钢筋的保护层厚度应为50mm,堤身和基础混凝土强度等级不应低于C15,垫层混凝土强度等级不应低于C10。
4.2.7浆砌毛石防火堤的构造应符合下列规定:
4.2.7.1堤身及基础最小厚度不应小于500mm;基础台阶宽高比允许值:当基础底面平均压力不大于100kPa时应为1:1.25,大于100kPa时为1:1.50,每阶宽度不应大于200mm。
4.2.7.2毛石强度等级不应低于MU20,砂浆强度等级不应低于M5。
4.2.7.3堤顶应做钢筋混凝土压顶。做法同4.2.5.3款;堤身应做水泥砂浆勾缝。
4.2.8毛石混凝土、素混凝土防火堤的构造应符合下列规定:
4.2.8.1堤身厚度不应小于300mm。
4.2.8.2混凝土强度等级不应低于C15,毛石强度等级不应低于MU20;毛石混凝土所投入的毛石体积,基础部分不应超过总体积的30%,堤身部分不应超过25%;毛石最大直径不应超过所在截面厚度的1/3。
4.2.8.3在堤身与基础的连接位置的堤内一侧,宜配置不少于堤身截面0.05%的构造钢筋,钢筋直径不宜小于10mm,钢筋伸入堤身和基础的锚固长度ls应符合《混凝土结构设计规范》第6.1.4条的规定。
5防火堤的强度及稳定性验算
5.1荷载组合及内力计算
5.1.1防火堤设计应按承载能力极限状态进行荷载效应基本组合。在抗震设防烈度7度及7度以下地区,应按堤内满液工况进行组合计算;在7度以上地区,尚应按地震工况进行组合计算,并按最不利组合进行设计。
防火堤的设计计算应包括强度计算和稳定性计算。
荷载效应组合的设计值应按式(5.1.1)计算确定:
(5.1.1)
式中S——荷载效应组合的设计值;
γG,γt,γL——分别为自重荷载、静土压力、静液压力荷载分项系数,取值见表5.1.1
荷载效应组合及分项系数、组合值系数 表5.1.1

注:验算抗倾和抗滑时,自重荷载的分项系数取0.9。
γQi——第i个可变荷载的分项系数,取值见表5.1.1
GK,GtK, QLK——分别为自重荷载、静土压力和静液压力荷载标准值,按5.1.2~5.1.4条规定计算确定;
QiK第I个可变荷载(包括堤身水平地震作用、动脉压力和动土压力等)标准值,按5.1.5~5.1.7条规定计算确定;
CG,Ct,CL,CQi——分别为自重荷截、静土压力、静液压力和第I个可变荷载效应系数;φci——第i个可变荷载的组合值系数,取值见表5.1.1。
5.1.2自重荷载标准值按式式(5.1.2)计算:
(5.1.2)
式中G1——每米堤长计算截面以上堤身自重荷截标准值(kN/m);
H1——计算截面至堤顶的距离(m);
B1——计算截面以上堤身的平均厚度(m);
γ——材质重度(kN/m3)。
5.1.3防火堤内侧所受的静液压力荷载标准值应按式(5.1.3-1,2,3,4)计算确定,计算简图见图5.1.3
(5.1.3-1)

图5.1.3 静液压力计算简图
(5.1.3-2)
(5.1.3-3)
(5.1.3-4)
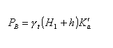
式中PL——每米堤长静液压力沿液体深度的水平分布荷载(kN/m2)
γL——堤内液体重度,取10 kN/m3;
Z——液体深度(m);
PL——计算截以上每米堤长静液压力合力标准值(kN/m);
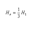
H1——计算截面至液面距离(m);
Ho——计算截面以上每米堤长静液压力合力位置至计算截面的距离(m);
ML——计算截面以上每米堤长静液压力合力对计算截面的弯矩标准值(kN·m/m)。
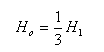
5.1.4防火堤内培土的静土压力荷载标准值的计算应符合下列规定,计算简图见图5.1.4。

图5.1.4.1 内培土压力计算简图
5.1.4.1图5.1.4中的折线AFD为土压力分布曲线,F为转折点,其压力分布应按式(5.1.4-1)~(5.1.4-8)计算确定:
(5.1.4-1)
(5.1.4-2)
(5.1.4-3)
(5.1.4-4)
当H12时,P
B按式(5.1.4-5)计算:

(5.1.4-5)
当H
12时,P
B按式(5.1.4-6)计算:

(5.1.4-6)

(5.1.4-7)

(5.1.4-8)
式中P
AP
B——分别为堤顶和计算截面处每米堤长土压力分布值(kN/m
2);
P
G——土压力分布曲线转折处的每米堤长土压力分布值(kN/m
2);
h——培土坡线与堤背延长线的交点A′至堤顶的距离(m);
a——培土面水平段的宽度(m);
H
1——计算截面以上培土高度(m);
H
2——压力分布曲线转折点至堤顶的距离(m);
β——培土坡面与水平面的夹角(°);
γ
t——土体重度,可取18~19kN/m
3;
K
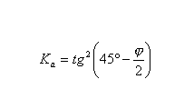
a——以AB为光滑墙背而填土面为水平时的主动土压力系数,可按式(5.1.4-7)计算或查附录GE.1;
Kˊ
a——以AˊB为假想墙背而填土面与水平成β角时的主动土压力系数,可按式(5.1.4-8)计算或查附表A.2;

——培土的内摩擦角(°),当无试验资料时,对于夯实砂土可取30°~40°,夯实轻亚粘土、亚粘土和粘土可取其等效内摩擦角35°,40°和45°。
5.1.4.2当H
12时,土压力合力及弯矩应按式(5.1.4-9,10,11)计算确定:
(5.1.4-9)
(5.1.4-10)
(5.1.4-11)
式中Pt——计算截面以上每米堤长土压力合力(kN/m);
Mt——计算截面以上每米堤长土压力合力对计算截面的弯矩(kN·m/m);
Ho——计算截面以上每米堤长土压力合力作用位置至计算截面的距离(m)。
5.1.4.3当H1≥H2时,土压力合力及弯矩应按式(5.1.4-12,13,14)计算确定:
(5.1.4-12)
(5.1.4-13)
(5.1.4-14)
5.1.5防火堤受到的水平地震作用的计算应符合下列规定:
5.1.5.1土筑防火堤和抗震设防烈度7度及7度以下的其它型式防火堤,可不进行抗震计算和验算。
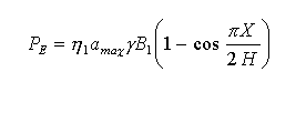
5.1.5.2钢筋混凝土防火堤的水平地震作用标准值应按式(5.1.5-1)~(5.1.5-4)计算确定,计算简图见图5.1.5-1。

图5.1.5-1 钢筋混凝土堤地震作用计算简图
(5.1.5-1)
(5.1.5-2)
(5.1.5-3)
(5.1.5-4)
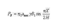
式中PE——距基础顶面X米处的每米堤长水平地震作用分布值(kN/m2);
PE——计算截面以上每米堤长水平地震作用合力(kN/m);
ME——计算截面以上每米堤长水平地震作用合力对计算截面的弯矩(kN·m/m);
a max ——水平地震影响系数最大值,当设防烈度为8度、9度时,分别取0.16,0.32;
η1——基本振型参与系数,取1.60;
X——计算截面至基础顶面的距离(m);
a1,a2——根据X/H值求得的相应系数,见表5.1.5;
Ho——计算截面以上每米堤长水平地震作用合力作用点至计算截面的距离(m);
H——基础顶面至堤顶的高度;
B1——堤身平均厚度。
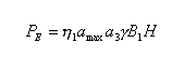
5.1.5.3砖、石砌体防火堤的水平地震作用应按式(5.1.5-5)~(5.1.5-8)计算确定,计算简图见图5.1.5-2。

图5.1.5-2 砖、石砌体防火堤水平地震作用计算简图
(5.1.5-5)
(5.1.5-6)
(5.1.5-7)
(5.1.5-8)
式中η1——基本振型参与系数,取1.27;
a3,a4——根据X/H比值,求得的相应系数,见表5.1.5;

表5.1.5 系数a1,a2,a3,a4数值图
a max ——水平地震作用影响系数最大值,当设防烈度为8度、9度时,分别取0.16,0.32。
5.1.6防火堤内液体动压力标准值的计算应符合下列规定,计算简图见图5.1.6。

5.1.6 液体动压力计算简图
5.1.6.1沿液体深度均匀分布的液体动压力应按式(5.1.6-1)计算确定:

式中pd——每米堤长液体动压力分布值(kN/m2);
amax——地震影响系数,设防烈度为8度、9度时分别取0.16,0.32;
ƒL——动液压力系数,取0.69;
HL——液体深度(m)。
5.1.6.2防火堤计算截面以上液体动压力合力及弯矩应按式(5.1.6-2,3)计算确定:
(5.1.6-2)
(5.1.6-3)
式中Pd——计算截面以上每米堤长动液压力合力(kN/m);
Md——计算截面以上每米堤长动液压力合力对计算截面的弯矩(kN·m/m);
H1——计算截面至液面的距离(m)。
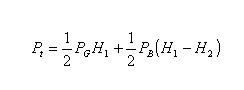
5.1.7防火堤培土的动土压力标准值应按式(5.1.7-1,2)计算确定:
(5.1.7-1)
(5.1.7-2)
式中PtE——地震作用时,计算截面以上每米堤长的动土压力合力(kN/m);
MtE——地震作用时,计算截面以上每米堤长的动土压力合力对计算截面的弯矩(kN·m/m);
Pt——土压力合力(kN/m),按式(5.1.4-9)或(5.1.4-12)计算确定。
5.2强度验算
5.2.1防火堤应进行截面强度验算和地基强度验算。
5.2.1.1防火堤强度验算的设计表达式如下:
(5.2.1-1)
式中γo——结构重要性系数,取1.0;
S——荷载效应组合设计值,按5.1.1条规定计算;
R——防火堤抗力设计值,按各有关规范确定。
5.2.1.2进行截面抗震强度验算时,设计表达式应为:
(5.2.1-2)
式中γRE——防火堤抗震调整系数,对于钢筋混凝土堤,取0.85;对于其它防火堤,取1.0。
5.2.2防火堤的截面强度设计和基础设计应符合国家现行规范的有关规定。
5.3稳定性验算
5.3.1防火堤的稳定性验算应进行抗滑验算和抗倾覆验算。
5.3.2抗滑验算应符合下列规定:
5.3.2.1抗滑验算应按式(5.3.2-1)进行:
(5.3.2-1)
式中P——防火堤每米堤长所承受的总水平荷载设计值(kN/m),按式(5.1.1)计算确定;
RH——每米堤长基础底面摩擦阻力标准值(kN/m),按5.3.2.2款计算确定;
R P——每米堤长被动土压力设计值(kN/m),按5.3.2.3款计算确定。
5.3.2.2基础底面摩擦阻力按式(5.3.2-2,3)计算确定:
(5.3.2-2)
(5.3.2-3)
式中G——每米提长传至基础底面的垂直荷载合力(kN/m);
G1——堤身自重荷载(kN/m),按式(5.1.2)计算确定;
Gj——基础自重荷载(kN/m);
Gt——基础以上土体自重荷载(kN/m);
GL——基础以上液体自重荷载(kN/m);
μ——基础与地基之间的摩擦系数,应根据试验资料取值;当无试验资料时,可按附录B取值。
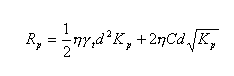
5.3.2.3被动土压力按式(5.3.2-4,5)计算确定:
(5.3.2-4)
(5.3.2-5)
式中η——被动土压力折减系数,取0.3;
d——基础埋置深度(m);
Kp——被动土压力系数按式(5.3.2-5)计算或查附录表A.3;
C——粘性地基土的粘结力(kN/m2);
——地基土的内摩擦角(°)。
5.3.3抗倾复验算应符合下列规定:
5.3.3.1抗倾复验算应按式(5.3.3-1)进行:
(5.3.3-1)
式中M——各倾复力矩换算至基础底面并按5.1.1条进行组合后的每米堤长总力矩(kN·m/m);
MW——每米堤长垂直荷载合力产生的稳定力矩(kN·m/m),按(5.3.3-2)计算确定。
5.3.3.2稳定力矩应按式(5.3.3-2)计算确定:
(5.3.3-2)
式中e——垂直荷载合力作用线至基础前端的水平距离(m)。
附录A 土压力系数表
A. 1主动土压力系数Ka
表A.1主动土压力系数Kˊa(a=0,δ=0)

A.2主动土压力系数Kˊa(a=0,δ=0)

A. 3被动土压力系数Kp
表A.3被动压力系数Kp

附录B 防火堤基底的摩擦系数
表B 土对防火堤基底的摩擦系数μ

注:①IL——液性指数。
②IP>22时的粘性土和易风化岩石,μ值应经试验确定。
附录C 用词说明
B. 1执行本规范条文时,对要求严格程度的用词说明如下:
C. 1.1表示很严格、非这样做的用词:
正面词采用“必须”;
反面词采用“严禁”。
C.1.2表示严格、在正常情况下均应这样做的用词:
正面词采用“应”;
反面词采用“不应”或“不得”。
C.1.3表示允许稍有选择,在条件许可时首先应这样作的用词:
正面词采用“宜”或“可”;
反面词采用“不宜”或“不可”。
C.2条文中指明必须按有关的标准、规范或规定执行的写法为“应按……执行”或“应符合……要求或规定”。
附加说明
编写单位:中国石油天然气总公司管道设计院
主要起草人:陈辉壁、冯宝坤、李荣椿、唐代永、程光荣